收藏本站
首页
公司概况
公司简介
公司规模
公司荣誉
产品中心
新闻动态
企业资讯
行业报道
医药知识
商务招商
联系我们
人才招聘
华体会(中国)
新闻动态
企业资讯
行业报道
医药知识
当前位置:
首页
>
企业资讯
>
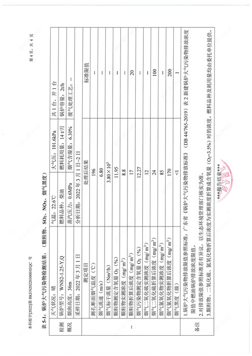
2022年3月废气检测
2022年3月废气检测
发布时间:2022-04-29 10:33:53 点击数:
上一篇:
2022年2月废气检测
下一篇:
2022年3月废水检测
官方微信扫一扫
华体会官方版网站登录入口
|
爱游戏
|
爱游戏网页版
|
荣耀体育官方网站
|
完美网页版
|
荣耀体育在线官网
|
球友会
|
德信官方在线入口
|
球友会
|